全人天然抗体库选取60个健康供体, 总数大于6x10e9 的PBMC或CBMC, 每个供体都单独建库并系统QC,保证了文库的高质量和多样性
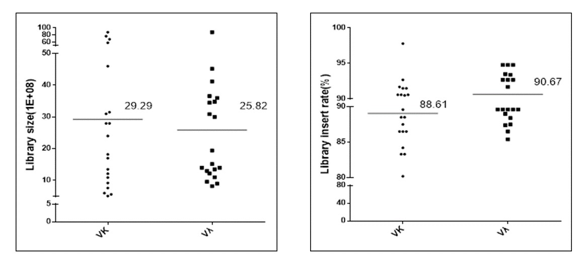
我们的全人天然抗体库选取了健康供体的PBMC和CBMC,将抗体以scFv单链抗体的形式克隆进入噬菌体展示载体,文库尺寸大于1011次方,即有大于1011次方个独立的转化子,并且约90%含有scFv插入,80%的scFv有可检测到的周质表达。
- 文库自主构建,选取了多个健康供体的PBMC和CBMC进行独立建库,同时还采用了商品化的混合供体建库,增加多样性
- 大于1011 的文库尺寸
- 真正的全人抗体,无合成和人工序列
- 每个子文库都进行了系统的QC,保证了文库质量

