生物物理表征卓越中心

满冠官网颗粒异物鉴定与生物物理表征卓越中心可以提供样品中颗粒异物的鉴定和蛋白质生物物理表征的分析服务。

 

生物物理表征卓越中心具备全面的生物物理分析所需的设备及分析方法,为蛋白质表征提供强大的技术支持。该平台具有较强的专业性,根据仪器设备的功能特色和服务方向,将生物物理分为高级结构表征、单体/聚体分子量检测、氨基酸含量检测、蛋白质消光系数检测、游离巯基含量检测、粒子粒径和电势分布检测以及蛋白热稳定性表征等方面,构建了一套完整的技术服务体系。

  • 应用:蛋白样品二级和三级结构的表征及样品间相似性的研究。

 

  • 简介:圆二色光谱(UV_CD)是一种通过检验光学活性分子对左、右圆偏振光的吸收从而测定蛋白高级结构的光谱技术。远紫外区(190-250 nm)的圆二色光谱图可以反映蛋白质的肽键信息,可以提供蛋白主要二级结构成分信息;近紫外区(250-350 nm)的生色基团是芳香族氨基酸,其 CD 信号可以反映蛋白质三级结构的变化。通过对两个蛋白样品的谱图比对,可以提供样品间相似性信息。此方法优势在于实验可以在溶液状态下测定,较接近蛋白生理状态。

 

圆二色光谱检测蛋白高级结构

  • 应用:用于分析溶液中蛋白二级结构成分的百分含量。

 

  • 简介:傅立叶变换红外光谱(FTIR)是一种可用来分析分子振动和转动状态的吸收光谱。蛋白质和多肽的主要红外特征吸收带包括: 酰胺I带 ( C=O 拉伸振动)和酰胺II带( C-N 拉伸振动)。不同的蛋白质二级结构(如 α-螺旋和 β-折叠)中氢键的不同,会在酰胺I带区表现出不同的特征频率和强度。FTIR 可以准确高效地提供蛋白 α-螺旋和 β-折叠的百分含量。与其他技术相比,FTIR 样品制备更为简单、检测耗时短且不依赖于样品浓度。

 

傅里叶变换红外光谱检测蛋白二级结构

  • 应用:表征蛋白单体和聚体的分子量信息。

 

  • 简介:体积排阻-多角度光散射联用(SEC-MALS)是基于体积排阻色谱的分离机理,将待分离蛋白分子按照体积大小进行分离,然后通过多角度激光散射仪,检测单一组分的分子量。可以识别蛋白的聚体状态,提供准确的单体和聚体的分子量。此项技术性能优异、具备高灵敏度和超宽的分子量。

 

  • 应用:准确测定蛋白质的表观分子量以及蛋白质在溶液中的聚集状态。

 

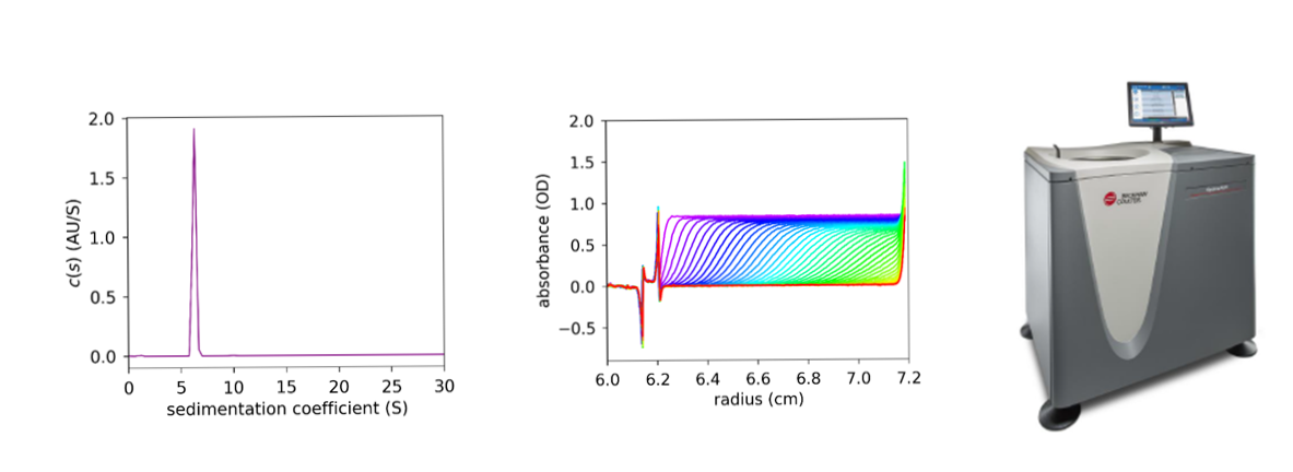
  • 简介:分析型超速离心技术(AUC)可以用于表征蛋白的均一性和聚体状态以及蛋白间相互作用等。利用沉降系数的差别对样品进行分离和分析,包括沉降速率和沉降平衡两种方法。此技术具备样品可回收、无需稀释、低浓度和低样品量检测、 高通量、高精确度和准确度等优势,且可以保持样品在接近其生理状态下进行分析,无需进行 buffer 置换。

 

  • 应用:用于培养基中以及蛋白质和多肽水解后的氨基酸含量分析等。

 

  • 简介:使用 Waters AccQ-Tag 柱前衍生的方法进行检测,此方法具有操作方便、准确度高、灵敏度高(高达 pmol 级别)等优势。

 


  • 应用:测定蛋白质和多肽的消光系数。

 

  • 简介:
  • 方法1:氨基酸分析法:根据 Beer-Lambert 定律, 使用分光光度计测出蛋白质的吸光度,通过氨基酸定量的方法测定蛋白质的浓度。将不同浓度蛋白质的吸光值与浓度绘制校正曲线,曲线的斜率即为蛋白的消光系数。此方法测量蛋白消光系数快捷、高效,可靠性高。
  • 方法2:双检测器法: 基于SEC-MALS系统,根据 Beer-Lambert 定律, 利用紫外检测器和示差检测器来测定蛋白样品的消光系数。此方法测量蛋白消光系数操作简单,快捷,可靠性高。

 


  • 应用:测定蛋白样品中游离巯基的含量。

 

  • 简介:二硫键对维持蛋白结构和热稳定性起到重要作用。二硫键的断裂可能会导致蛋白错误折叠和游离巯基的产生。试剂盒中的反应试剂能与游离巯基基团反应,形成荧光产物,其荧光强度与游离巯基含量呈正相关。此方法具有样品制备简单、耗时短、通量高、准确性高等优点。


  • 应用:测定溶液中分散的颗粒和分子的粒径、分布和 Zeta 电势。

 

  • 简介:纳米激光粒度仪可以测量样品中粒子的布朗运动,从而得到粒子的粒径和分布,经 Zetasizer Nano 软件进行分析后,测定出样品的粒径(Z-average size)及单分散指数。此方法优势在于样品无需稀释和过滤,操作简便。

 


  • 应用:表征蛋白质的热动力学稳定性。

 

  • 简介:通过测量样品与参比品之间的能量差随温度的变化,从而实现对蛋白热稳定性的表征。转变温度(Tm)越高,分子越稳定。此方法的优势是高通量、高灵敏度和高自动化。

 


联系我们

 

您可以通过邮箱[email protected]联系我们,我们的业务代表会尽快回复您。

 

技术咨询:王波博士 [email protected]